O Monopólio (economia)
O termo monopólio define uma situação na qual uma única empresa produz um bem para o qual não existe substituto próximo.
A curva de procura individual de um monopolista possui as mesmas características gerais da curva de procura de mercado em concorrência perfeita:
Uma das grandes diferenças entre um monopolista e um concorrente perfeito é a de que o preço do monopolista diminui quando aumentam as suas vendas.
Em concorrência perfeita - ao contrário do monopólio - o preço é um parâmetro e a maximização do lucro dá-se em função da variação do nível de produção. Um monopolista pode maximizar os seus lucros, quer variando o seu nível de produção quer alterando o preço do produto.
O monopolista embora não tenha concorrentes, não pode escolher o preço de forma totalmente independente, tem que contar com a curva de procura de mercado.
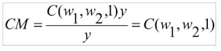
De salientar que a receita total do monopolista varia de duas formas quando a quantidade produzida se altera, por via da alteração das quantidades e por via da alteração do preço.
Podemos representar a variação da receita total por:
Enquanto em concorrência perfeita, se o produtor aumentar as suas vendas em uma unidade, a sua receita aumentará pelo valor de mercado da unidade adicional ( o preço). Em monopólio, para vender mais uma unidade, o monopolista tem que diminuir o preço de todas elas.
A diferença entre a Rmg e o preço diminui quando a elasticidade da procura aumenta, a Rmg aproxima-se do preço quando a elasticidade tende para infinito.
Através de uma curva de procura linear podemos traçar a curva da receita total:
Maximização do Lucro Monopolista (em monopólio económico)
A condição de primeira ordem para a maximização do lucro é:
Ou seja, a produção deve expandir-se enquanto os acréscimos à receita total excederem os acréscimos dos seus custos totais.
Como a Rmg deverá ser positiva para uma produção que maximiza o lucro, concluímos que o monopolista escolherá sempre um ponto elástico na sua curva de procura, isto é, um ponto em que o valor absoluto da elasticidade seja maior do que 1.
Se um monopolista seguir a regra de concorrência perfeita (p=Cmg) tem uma produção maior a um preço menor. Nas indústrias monopolísticas actua-se num ponto em que p>Cmg.
Portanto os consumidores desfrutam de um bem estar menor numa indústria monopolística do que numa indústria competitiva.






































